| Forest | Num plots | % of plots |
|---|---|---|
| Conifer | 1015 | 22.6 |
| Hardwood | 1936 | 43.1 |
| Mixed woods | 1542 | 34.3 |

Forests that are categorized as mixedwoods are often difficult to work with. The diversity of tree species found in them doesn’t make it appropriate to label them to a specific forest type. This presents problems in forestry because most of our management guidelines are developed for application to a specific forest type.
Mixedwoods are also often uneven aged, making age a poor predictor of their volume and productivity. Naturally, mixedwoods are more diverse, containing a greater number of tree species compared to stands dominated by hardwood or conifer species.
So how do you identify mixedwoods? Stands can have varying levels of “mixy-ness”, but a common definition from Mixedwood silviculture in North America published by Kenefic et al. in 2021 is a stand where neither the proportion of hardwoods or softwoods exceeds 75% of the total basal area or canopy cover in the stand.
In New England forests, mixedwoods are abundant. This post quantifies the amount and distribution of mixedwoods across the region.
Mixedwood stands in New England
Using Forest Inventory and Analysis plots across the region (full condition plots from their most recent measurement), data were queried on mixedwoods across New England. Stands were labeled as being dominated by either conifers, hardwoods, or mixedwoods (defined as stands where neither the proportion of hardwoods or softwoods exceeded 75% of the total basal area).
In total, 34% of FIA plots in New England are categorized as mixedwoods, behind hardwood-dominated plots (43%):
Conifer stands are most common in northern New England and eastern Maine. Like hardwood stands, mixedwoods were abundant across all of New England’s forest types:

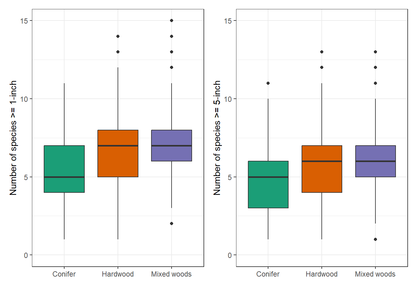
Mixedwoods are comparable to hardwood stands in terms of number of species. Average number of species greater than 5.0-inches on FIA plots was 6.1 and 5.6 species in mixedwoods and hardwood stands, respectively:
| Forest | Avg num species >= 1-in | Avg num species >= 5-in |
|---|---|---|
| Conifer | 5.4 | 4.8 |
| Hardwood | 6.5 | 5.6 |
| Mixed woods | 7.0 | 6.1 |

This peek into mixedwoods highlights their differences across New England forests. Rather than being categorized into a single forest type group, mixedwoods can be analyzed for their own unique attributes.
–
By Matt Russell. Sign up for our monthly LinkedIn Newsletter for news, comments, and insights for professionals that work with forests and data